Copyright (c) 2004 James B. Wilson | Show Frames | Hide Frames

Symmetric Group S_3 White Sheet [Printable Version]

Other Group White Sheets
Subgroup Lattice
S_3
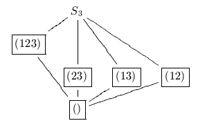
Element Lattice
S_3
Conjugated Poset
S_3
Alternate Descriptions: (* Most common)
Name Symbol(s)
Symmetric S3
Dihedral D6

GAP ID:?
Magma ID:?