Copyright (c) 2004 James B. Wilson | Show Frames | Hide Frames

Cyclic group of order 6 White Sheet [Printable Version]

Other Group White Sheets
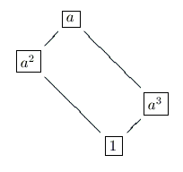
Subgroup Lattice Element Lattice
C6
C_6
Alternate Descriptions: (* Most common)
Name Symbol(s)
* Cyclic * C6, Z6
Abelian [6]  

GAP ID:?
Magma ID:?