Show Frames | Hide Frames
Copyright (c) 2003-2004 James B. Wilson

Abelian [4,4] White Sheet [Printable Version]

Other Group White Sheets
Subgroup Lattice
C_4 x C_4
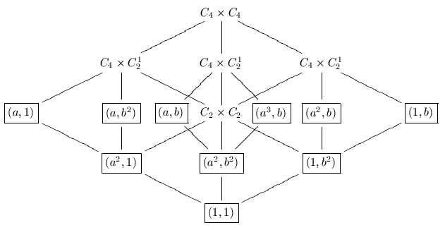
Element Lattice
C_4 x C_4
Alternate Descriptions: (* Most common)
Name Symbol(s)
* Abelian [4,4] * C4 x C4 Z4 x Z4

GAP ID: [16,2]
Magma ID:?

Standard Invariants:
Invariant Value
Abelian True
Nilpotent True
Nilpotency Class 1
Ascending Central Series [0, C4 x C4]
Descending Central Series [C4 x C4, 0]
Solvable True
Composition Factors {C2, C2, C2, C2}
Automorphism Group ??