Show Frames | Hide Frames
Copyright (c) 2004 James B. Wilson

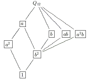
Quaternion Group on 6 Vertices, White Sheet [Printable Version]

Other Group White Sheets
Subgroup Lattice
Q12
Element Lattice
Conjugated Poset
Alternate Descriptions: (* Most common)
Name Symbol(s)
Quaternion Q12

GAP ID:?
Magma ID:?