Copyright (c) 2004 James B. Wilson | Show Frames | Hide Frames

Dihedral Group on 6 Vertices, White Sheet [Printable Version]

Other Group White Sheets
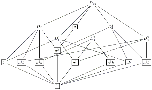
Subgroup Lattice
D12
Element Lattice
Conjugated Poset
Alternate Descriptions: (* Most common)
Name Symbol(s)
Dihedral D12

GAP ID:?
Magma ID:?