Copyright (c) 2003-2004 James B. Wilson | Show Frames | Hide Frames

Dihedral Group D8 White Sheet [Printable Version]

Other Group White Sheets
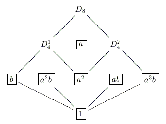
Subgroup Lattice Element Lattice
D_8
D_8
Conjugated Post-Lattice
D_8
Alternate Descriptions: (* Most common)
Name Symbol(s)
* Dihedral * D8
D4
Extraspecial ("+" Type) E+(8)

GAP ID: [8,3]
Magma ID:?

Standard Invariants:
Invariant Value
Abelian False
Nilpotent True
Nilpotency Class 2
Ascending Central Series [0, C2, D8]
Descending Central Series [D8, C2, 0]
Solvable True
Composition Factors {C2, C2, C2}
Automorphism Group D8
Permutation Representations [Description]
Action Name
Degree
Generators
Stabilizer
(Isomorphism Type)
Stabilizer
(Genertors)
Primitivity Blocks
  [Description]   [Description] [Description] [Description]
Dihedral
4
(1234), (13)
C2
(13)
{{1,3},{2,4}}
Regular
8
(1234)(5678),
(15)(26)(37)(48)
0
()
{{1,3,5,7},{2,4,6,8}}