Copyright (c) 2003-2004 James B. Wilson | Show Frames | Hide Frames

C4 x C2 White Sheet [Printable Version]

Other Group White Sheets
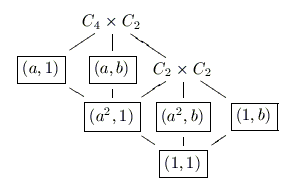
Subgroup Lattice Element Lattice
C_4 x C_2
C_4 x C_2
Alternate Descriptions: (* Most common)
Name Symbol(s)
* Abelian [4,2] * C4 x C2

GAP ID: [8,2]
Magma ID:?

Standard Invariants:
Invariant Value
Abelian
Nilpotent
Nilpotency Class
Ascending Central Series [0, C4 x C2]
Descending Central Series [C4 x C2, 0]
Solvable
Composition Factors {C2, C2, C2}
Automorphism Group
Permutation Representations [Description]
Action Name
Degree
Generators
Stabilizer
(Isomorphism Type)
Stabilizer
(Genertors)
Primitivity Blocks
  [Description]   [Description] [Description] [Description]
Regular
8
(1234)(5678), (15)(26)(37)(48)
0
()
{1,2,3,4},{5,6,7,8}