Show Frames | Hide Frames
Copyright (c) 2003-2004 James B. Wilson

Quaternionic Product White Sheet [Printable Version]

Other Group White Sheets
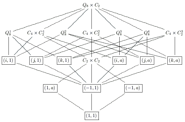
Subgroup Lattice
Q_8 x C_2
Element Lattice
Q_8 x C_2
Conjugated Poset
Q_8 x C_2
Alternate Descriptions: (* Most common)
Name Symbol(s)
  * Q8 x C2

GAP ID: [16,12]
Magma ID:?

Standard Invariants:
Invariant Value
Abelian False
Nilpotent True
Nilpotency Class 2
Ascending Central Series [0, C2 x C2, Q16]
Descending Central Series [Q16, C2 x C2, 0]
Solvable True
Composition Factors {C2, C2, C2, C2}
Automorphism Group ??