Show Frames | Hide Frames
Copyright (c) 2003-2004 James B. Wilson

Quaternionic Group of order 16 White Sheet [Printable Version]

Other Group White Sheets
Subgroup Lattice
Q_{16}
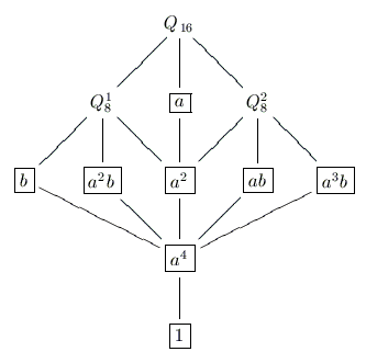
Element Lattice
Q_{16}
Conjugated Poset
Q_{16}
Alternate Descriptions: (* Most common)
Name Symbol(s)
* Quaternion * Q16

GAP ID: [16,9]
Magma ID:?

Standard Invariants:
Invariant Value
Abelian False
Nilpotent True
Nilpotency Class 2
Ascending Central Series [0, C4, Q16]
Descending Central Series [Q16, C4, 0]
Solvable True
Composition Factors {C2, C2, C2, C2}
Automorphism Group ??