Show Frames | Hide Frames
Copyright (c) 2003-2004 James B. Wilson

Modular Group White Sheet [Printable Version]

Other Group White Sheets
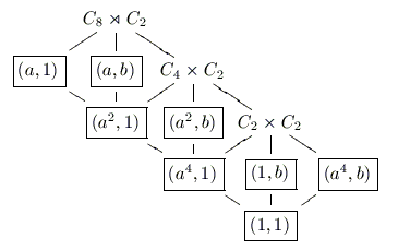
Subgroup Lattice
Element Lattice
Modular
Conjugated Poset
Modular
Alternate Descriptions: (* Most common)
Name Symbol(s)
Modular  

GAP ID: [16,6]
Magma ID:?

Standard Invariants:
Invariant Value
Abelian False
Nilpotent True
Nilpotency Class 2
Ascending Central Series  
Descending Central Series  
Solvable True
Composition Factors {C2, C2, C2, C2}
Automorphism Group ??