Show Frames | Hide Frames
Copyright (c) 2003-2004 James B. Wilson

Dihedral Group of order 16 White Sheet [Printable Version]

Other Group White Sheets
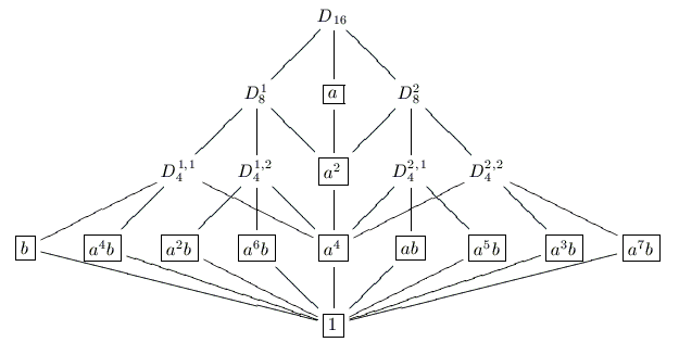
Subgroup Lattice
D_{16}
Element Lattice
D_{16}
Conjugated Poset
D_{16}
Alternate Descriptions: (* Most common)
Name Symbol(s)
* Dihedral * D16, D8

GAP ID: [16,7]
Magma ID:?

Standard Invariants:
Invariant Value
Abelian False
Nilpotent True
Nilpotency Class 3
Ascending Central Series [0, C2, C4, D16]
Descending Central Series [D16, C4, C2, 0]
Solvable True
Composition Factors {C2, C2, C2, C2}
Automorphism Group ??