Show Frames | Hide Frames
Copyright (c) 2003-2004 James B. Wilson

Abelian [8,2] White Sheet [Printable Version]

Other Group White Sheets
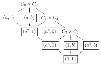
Subgroup Lattice Element Lattice
C_8 x C_2
C_8 x C_2
Alternate Descriptions: (* Most common)
Name Symbol(s)
* Abelian [8,2] * C8 x C2 Z8 x Z2

GAP ID: [16,5]
Magma ID:?

Standard Invariants:
Invariant Value
Abelian True
Nilpotent True
Nilpotency Class 1
Ascending Central Series [0, C8 x C2]
Descending Central Series [C8 x C2, 0]
Solvable True
Composition Factors {C2, C2, C2, C2}
Automorphism Group ??